RIPA裂解液(强)
● 产品包装:
|
产品编号
|
产品名称
|
产品包装
|
说明书
|
|
RL1020
|
RIPA裂解液(强)
|
100 ml
|
1份
|
● 产品简介:
RIPA裂解液(RIPA
Lysis Buffer)是一种传统的细胞组织快速裂解液。RIPA裂解液裂解得到的蛋白样品可以用于常规的Western、IP等。RIPA的本意是Radio Immunoprecipitation Assay。RIPA裂解液的配方有很多种,根据其裂解液的强度大致可以分为强、中、弱三类。RIPA裂解液(强)的主要成分为50 mM Tris (pH 7.4),150 mM NaCl,1% Triton
X-100,1%
sodium deoxycholate,0.1% SDS,以及sodium orthovanadate,sodium
fluoride,EDTA,EGTA等多种抑制剂。可以有效抑制蛋白降解。由于含有较高浓度的Triton X-100等干扰物质,不能用传统Bradford法测定由本裂解液裂解得到样品的蛋白浓度,可以使用BCA蛋白浓度测定试剂盒(货号:RTP7102)或Bradford蛋白浓度测定试剂盒(去垢剂兼容型)(货号:RTP7104)测定蛋白浓度。
● 保存条件:
-20℃保存,一年有效。
● 注意事项:
1.为取得最佳的使用效果,尽量避免过多的反复冻融。可以适当分装后使用。需自备PMSF。裂解样品的所有步骤都需在冰上或4℃进行。
2. RIPA裂解液的裂解产物中经常会出现一小团透明胶状物,属正常现象。该透明胶状物为含有基因组DNA等的复合物。在不检测与基因组DNA结合特别紧密的蛋白的情况下,可以直接离心取上清用于后续实验;如果需要检测和基因组结合特别紧密的蛋白,则可以通过超声处理打碎打散该透明胶状物,随后离心取上清用于后续实验。如果检测一些常见的转录因子,例如NF-kappaB、p53等时,通常不必进行超声处理,就可以检测到这些转录因子。
● 使用说明:
1. 准备RIPA裂解液:
融解RIPA裂解液,混匀;取适当量的裂解液,在使用前数分钟内加入1/100体积的100 mM PMSF,使PMSF的最终浓度为1 mM。
2. 细胞蛋白提取:
2.1 贴壁细胞:去除培养液,加入适量1×PBS,轻柔漂洗一遍,不要扰动贴壁细胞。按照6孔板每孔加入100-200 μl裂解液的比例加入裂解液,移液器吹打数下,使裂解液和细胞充分接触,冰上裂解细胞5分钟,用细胞刮刀刮下细胞收集于1.5 ml离心管中,冰上继续裂解15分钟,间歇混匀。
|
培养板规格/培养皿表面积
|
细胞量
|
RIPA推荐使用量
|
|
100 mm培养皿
|
1.5×107
|
0.5-1 ml
|
|
60 mm培养皿
|
5×106
|
0.25-0.5 ml
|
|
35 mm培养皿
|
2×106
|
0.2-0.4 ml
|
|
6孔板
|
2.5×106
|
100-200 μl
|
|
24孔板
|
5×105
|
100-150 μl
|
|
96孔板
|
1×105
|
50-100 μl
|
2.2 悬浮细胞:450 g
4℃ 离心5 min收集细胞;用适量1×PBS重悬细胞,450 g 4℃ 离心5 min收集细胞;重复漂洗细胞一次;按照细胞沉淀体积(PCM)20 μl加入200 μl RIPA的比例加入RIPA,混匀细胞沉淀,冰浴处理15分钟,间歇混匀。
注:2×106 Jurkat细胞,其细胞沉淀体积(PCM,Packed Cell Volume)大约为20 μl。
2.3 裂解细胞:
裂解混合物超声波处理(超声条件根据仪器调整,建议条件为);如没有超声破碎仪,可以使用注射器用27G针头处理裂解物10-15次(货号:PE2719 ,蛋白提取针头套装),以彻底裂解细胞。冰浴处理15分钟。
注:裂解中细胞会释放出变性的核酸,呈团状粘稠透明样,如不进行超声或针头裂解处理,会导致裂解物非常粘稠,大大降低蛋白提取的得率和纯度。
2.4 离心收集上清:
充分裂解后,4℃ 16000
g离心10分钟,取上清,即可进行后续的PAGE、Western和免疫沉淀等操作。
3. 组织样品蛋白提取:
3.1 手术切除的组织块迅速置于预冷的生理盐水中,漂洗数次,洗净组织血迹,用滤纸吸
干组织表面液体,将组织切成细小的碎片。
3.2 按照每20 mg组织加入200 μl裂解液的比例加入裂解液。(如果裂解不充分可以适当添加更多的裂解液,如果需要高浓度的蛋白样品,可以适当减少裂解液的用量。)
3.3 用玻璃匀浆器冰浴匀浆5-10次,收集匀浆后的裂解混合物,超声波处理(超声条件根据仪器调整,建议条件为);如没有超声破碎仪,可以使用注射器用27G针头处理裂解物10-15次(货号:PE2719 ,蛋白提取针头套装),以彻底裂解细胞。裂解物冰浴处理15分钟。
注:裂解中细胞会释放出变性的核酸,呈团状粘稠透明样,如不进行超声或针头裂解处理,会导致裂解物非常粘稠,大大降低蛋白提取的得率和纯度。
3.4 充分裂解后,4℃ 16000
g离心10分钟,取上清,即可进行后续的PAGE、Western和免疫沉淀等操作。
实验示例:
Jurkat RIPA总蛋白提取,GAPDH检测
总蛋白提取:4×106 Jurkat细胞,450 g 离心收集,去上清,PBS漂洗两次,沉淀中加入200 μl RIPA(加2 μl 100 mM PMSF),冰上裂解5分钟,4℃ 16000 g 15 分钟,上清即为总蛋白(TP)。
电泳:RTD6132-15%3.3C 200 V 33-12 mA 55 min
转膜:NC膜,1×RealBlot快速转膜液湿转,稳流400 mA,电压变化64-57 V,转膜时间35 min
封闭:无蛋白快速封闭液,RT 20 min
一抗孵育:GAPDH 羊抗兔多抗,一抗稀释液稀释1:2000
二抗孵育:羊抗兔IgG-HRP,二抗稀释液稀释1:5000
检测:ECL发光检测
实验示例:
1、作用:①利用去污剂破坏脂质双分子层,破裂细胞;②溶解蛋白;③蛋白变性使其稳定;④抑制蛋白酶/核酸酶活性(根据后续实验的目的不同,裂解液中会加入蛋白酶抑制剂或DNA/RNA酶抑制剂,方便目的物的提取。)去污剂是由一个疏水尾端基团和一个极性亲水头端基团组成的有机化合物。在一定的温度条件下,以特定浓度溶解于水时,去污剂分子会形成胶束,疏水基团部分位于胶束内部,而极性亲水基团则在其外部。去污剂胶束的疏水核心区域与蛋白质的疏水表面结合,形成可溶性的蛋白质-去垢剂复合物。去污剂根据其亲水基团的不同分为:阴/阳离子去污剂、非离子型两性去污剂、两性去污剂。1)阴/阳离子型去污剂:离子去污剂是由一个疏水链和一个阳离子或阴离子的极性头端基团组成。此类去污剂活性较强,作用强烈,会更大程度的改变蛋白质的结构,更容易受到pH、离子强度和反离子的性质等因素影响。如阴离子去污剂-十二烷基硫酸钠(SDS)、阴离子去污剂-脱氧胆酸钠(Sodium deoxycholate)等。
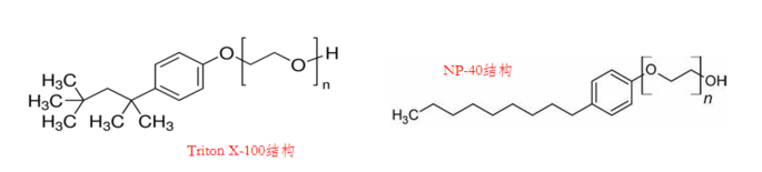
离子型去污剂:非离子型去污剂和离子型不同,它们的头端基团是没有极性的亲水基团,是比较温和的表面活性剂。它们可以破坏蛋白质-脂质以及脂质-脂质之间的连接,但是不能破坏蛋白质-蛋白质的连接,而且大多非离子去污剂不能使蛋白质变性。因此,这种去污剂可以使蛋白质溶解和分离,但却保留了蛋白质的天然构象、功能以及它们的相互作用。如Triton X-100、乙基苯基聚乙二醇(NP-40)、Tween-80等。

3)两性去污剂:两性离子去污剂头端基团是亲水性,含有正负电荷各一个,因此呈现电中性。两性去污剂在酸性溶液中是正离子,在碱性溶液是负离子, 可在任何酸碱度的溶液中使用。相对于离子型去污剂其更少产生变性,相对于非离子型去污剂,又可以更有效的破坏蛋白质-蛋白质键并减少聚集。如CHAPS。Tris,三羟甲基氨基甲烷,是一种有机化合物,溶于乙醇和水,是核酸和蛋白质的溶剂,广泛应用于生物化学和分子生物学实验中缓冲液的制备。
Tris为弱碱,在25°C下,它的pKa为8.1;根据缓冲理论,Tris缓冲液的有效缓冲范围在pH7.0到9.2之间。0.1mol/l的水溶液pH为10.4,一般加入盐酸以调节pH值,即可获得所需pH值的缓冲液。

主要应用有:①1M Tris-HCl pH6.8、1.5M Tris-HCl pH8.8和5×Tris-甘氨酸电泳缓冲液是SDS-PAGE最常用的试剂。②在Tris盐酸缓冲液中加入EDTA制成“TE缓冲液”,TE缓冲液被用于DNA的稳定和储存。将调节pH值的盐酸换为乙酸即可以得到“TAE(Tris/Acetate/EDTA)缓冲液”,换成硼酸则获得“TBE(Tris/Borate/EDTA)缓冲液”。TAE和TBE缓冲液常用于核酸电泳实验中。
不同裂解成分的裂解强度不同,可以根据不同的实验需求选用不同的裂解液。

1、NP40 lysis buffer:主要成分为50mM Tris(pH7.4),150mM NaCl,1% NP-40。NP-40是一种很温和的非离子型去污剂,1%浓度基本可以破坏掉细胞膜,而对核膜的破坏作用较弱,结合特定的缓冲液可以获得胞浆蛋白,适用于膜蛋白非变性条件下的溶解。与蛋白结合力强,用于防止物质分子疏水间相互作用,确保蛋白的充分溶解和结构稳定。常用于常规的Western、IP和co-IP和ELISA,如需要裂解细胞核膜获取核蛋白,可用1%NP40+0.1%SDS(WB实验)或用1%NP40+超声(IP实验)。2、SDS lysis buffer:主要成分为50mM Tris (pH8.1),1% SDS;是一种比较强烈的细胞组织裂解液,可裂解核膜;用于常规Western、ChIP等。3、RIPA裂解液:组分为25 mM Tris-HCl, pH 7.6、150 mM NaCl、1% NP-40、1%脱氧胆酸钠、0.1%十二烷基硫酸钠(SDS)。RIPA裂解液是一种传统的细胞组织快速裂解液,获得的蛋白样品可用于常规WB、IP等实验。
4、IP裂解液:组分为25 mM Tris-HCl, pH 7.4、150 mM NaCl、1% NP-40、1% mM EDTA、5% 甘油。IP裂解液是一种改良后的RIPA裂解液,具中等强度效力,可高效溶解细胞蛋白,但不会像RIPA一样释放染色体组DNA或破坏蛋白复合物。适合下游免疫沉淀或亲和吸附应用。
5、Tris-Triton裂解液:组分为10mM Tris,pH7.4、100mM NaCl、1mM EDTA、1mM EGTA(钙离子螯合剂)、1% Triton X-100、10% 甘油、0.1% SDS、0.5% 脱氧胆酸钠。Tris-Triton裂解液是非离子型表面活性剂,效力介于NP-40和SDS之间,下游应用有WB、ELISA、IP。
6、红细胞裂解液:
红细胞裂解液是一种比较温和的红细胞去除方法,它既不损伤有核细胞又能充分的去除红细胞;主要用于经酶消化分散的组织细胞的分离纯化,淋巴细胞的分离纯化以及组织细胞蛋白与核酸提取等实验中红细胞的去除。经红细胞裂解液裂解得到的组织细胞中不含红细胞,可进一步用于原代培养、细胞融合、流式细胞分析、核酸与蛋白的分离和提取等。
氯化铵是红细胞裂解液的主要效应物质,氨根离子不能通过细胞膜,而其他离子可以通过,造成细胞内外的离子浓度差异,形成了渗透压差,外部的水分会扩散至细胞内,使红细胞膨胀,达到裂解的效果。由于红细胞结构相对简单,因此膨胀的耐受能力较差,绝大部分就会被涨破。碳酸盐的主要作用为PH缓冲。EDTA与镁离子和钙离子形成的螯合物主要起到破坏细胞膜稳态的作用,此作用对白细胞影响很小,所以这种裂解液可以在裂解红细胞的同时较小的影响白细胞。
使用RIPA(货号:RL1020)发表部分文章列表
1. [2022 IF=2.1] METTL3-mediated
methylation of CYP2C19 mRNA may aggravate clopidogrel resistance in ischemic stroke
patients.
Author: Quandan Tan, Le
Yang, Shanshan Yuan, Danni Zheng, Yapeng Lin, Kejie Chen, Ying He, Shuntian
Chen, Junli Hao, Jin Dai, Song He, Fengkai Mao, Xinyi Leng, Haisong Jiang, Jie
Yang.
Journal: Open
Medicine 2024; 19: 20240899.
Institution: University of Electronic Science and Technology of
China
Paper link:https://doi.org/10.1515/med-2024-0899
2. [2023 IF=2.8] Anti?tumor activity of butorphanol
in colorectal cancer via targeting SIGMAR1.
Author: Xueqi Hou, Longfei Qu,Yong Xu,Jie Liu,
Jianlian Guo
Journal: Discover Oncology (2024) 15:711
Institution:School of Medicine,
Xiamen University
Paper link: https://doi.org/10.1007/s12672-024-01581-1